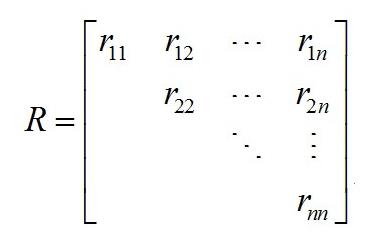
矩陣在線性代數中的最基本的知識,因此它會在線性代數貫穿始終,所以它的上鏡率也會非常高。在當在文檔中涉及到線性代數時必然會少不了矩陣的出現。矩陣有很多規律性的東西,這些規律性的矩陣都是一些很常見并常用的矩陣,比如三角矩陣,下面就來介紹MathType三角矩陣的編輯方法。

文章源自四五設計網-http://m.wasochina.com/37085.html
1、輸入方括號后,將光標放在括號中,在MathType工具欄中選擇“矩陣模板”——“可變大小的矩陣或表格”。文章源自四五設計網-http://m.wasochina.com/37085.html
文章源自四五設計網-http://m.wasochina.com/37085.html
2、在彈出的對話框中,在“行”和“列”的輸入框中輸入4,即建議一個4行4列的矩陣,其它進行默認,點擊“確定”按鈕“就可以了。文章源自四五設計網-http://m.wasochina.com/37085.html
文章源自四五設計網-http://m.wasochina.com/37085.html
3、在出現的4行4列矩陣中進行相應的元素輸入。元素的下標就使用下標模板或者快捷鍵“Ctrl+L”,省略號的地方直接點擊MathType小標簽欄中的省略號就可以,或者也可以使用“橢圓和空格模板”中的省略號,兩種方法都可以,不過在小標簽欄中直接點擊會比較快一點。文章源自四五設計網-http://m.wasochina.com/37085.html
文章源自四五設計網-http://m.wasochina.com/37085.html
4、將有元素的部分輸入完成后,直接將公式復制粘貼到文檔的相應部分就可以,或者直接將軟件關閉的時候選擇將公式保存,公式也會出現在文檔中的相應位置,這時你在文檔中會發現在MathType矩陣中沒有輸入元素的虛框,在文檔中會直接以空白顯示,而不會出現我們在MathType中的虛框。文章源自四五設計網-http://m.wasochina.com/37085.html
文章源自四五設計網-http://m.wasochina.com/37085.html
注意事項:文章源自四五設計網-http://m.wasochina.com/37085.html
上面只介紹了上三角矩陣的輸入方法,其實下三角矩陣的輸入方法是相同的,很多人糾結的問題是那些在MathType中看得見的空白虛框要怎么要刪去才好。



評論